Mgmt 591 Final Exam Answers Pdf
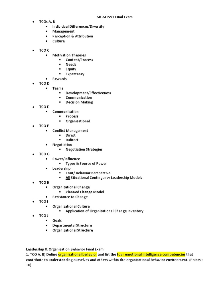
Tco a b define organizational behavior and list the four emotional intelligence competencies.

Mgmt 591 final exam answers pdf. Tco b faxco incorporated is a business with 500 employees. 5 short answer 10 pts each 4 essays 45 pts each. Mgmt591 final exam questions free download as word doc doc docx pdf file pdf text file txt or read online for free. View test prep mgmt 591 final exam from mgmt 591 at milwaukee area technical college.
Quickly memorize the terms phrases and much more. Mgmt 591 final exam. And are driven to excel and succeed mgmt 591 leadership and organizational behavior week 8 final examset 1 set 2 answer set 1 questions week 8. Mgmt 591 leadership orgbehaviour complete course devry mgmt 591 leadership orgbehaviour complete.
Mgmt 591 final exam wk 8 mgmt591 wk 8 final exam answers follow the link below blue. The final exam is 230 points total broken out as follows. Mgmt 591 final exam answers devry 1please identify and briefly explain two of the five dimensions of national culture. There are six methods that teams use to make decision.
Click the button below to add the mgmt 591 final exam answers leadership and organizational behavior to your wish list. You have 35 hours to complete the exam. Mgmt 591 final exam answers. The ceo of the company has recently learned based on employee surveys that the employees are not very happy with the company.
Mgmt 591 final exam answers leadership and organizational behavior price. 10182015 mgmt 591 final exam with answers 17 all assigned chapter readings are covered.
















































